- Research
- Open access
- Published:
Professional learning activity in and of teacher teams: multilevel assessment of how transformational leadership, goal interdependence, and collective efficacy affect information sharing
Empirical Research in Vocational Education and Training volume 16, Article number: 6 (2024)
Abstract
Engaging in learning with colleagues is paramount for teachers to enhance students’ learning. To be effective and sustainable, it requires engagement both by individual teachers as well as whole teams. Surprisingly however, research examining learning activity as a characteristic of individuals in teams and a property of teams, as well as their antecedents on both levels, is still scarce. This study examined how perceptions of transformational leadership, as mediated by goal interdependence and collective-efficacy, facilitate teachers’ engagement in information sharing, and whether effects are similar for individuals and teams. Questionnaire data were analyzed using multilevel structural equation modelling. Results showed that individual engagement in information sharing and individuals’ perceptions of goal interdependence were directly impacted by transformational leadership practices. Information sharing of teams, and collective efficacy, were impacted by consistent perceptions of goal interdependence. Teachers shape their learning amongst themselves in teams, with individual support from their leader.
Professional learning activity in and of teacher teams
Schools confronted with continuous change seek ways to enhance teachers’ skills to adapt (van Veen et al. 2010). Engagement in life-long learning at the workplace through the exchange of knowledge and skills with colleagues in professional learning communities enables teachers to build their professional capacities and thereby making adapting to the different changes confronting them more effective (Jarvis 1987; Klarner et al. 2008; Onderwijscoöperatie 2012; Smylie 1995; Stoll 2009; 2020). To face the impact of globalization and an increasingly complex world, teachers can no longer learn individually (Stoll et al. 2006; Valckx et al. 2020). Rather, to enhance students’ learning scholars have suggested that teachers collaborate as a group of people who are critically reflecting on their own and their colleagues’ practices, share these reflections with each other with an aim to learn from them, so that capacities of all teachers may improve (Bellibaş et al. 2021; Luyten and Bazo 2019; Stoll et al. 2006; Toole and Louis 2002; Vescio et al. 2008; van Woerkom 2003; Vanblaere and Devos 2016). In accord, Vocational Education and Training (VET) teachers in the Netherlands have been organized in multi-disciplinary teams and have been given the goal to focus on integrating their knowledge into new courses, to facilitate such social learning in the workplace (Meirink et al. 2009, 2010; Poortman 2007; Truijen 2012).
However, such learning will only be beneficial for these teams, if engagement in it is shared by all team members. Without shared engagement in learning activities, teams’ capacities to adapt could hinge on but a few team members, and could consequently leave new team members underinformed (e.g., Barab and Duffy 2000; Giles and Hargreaves 2006; Grossman et al. 2001; Wenger 1998; Yost 2006). In contrast, the emergence of engagement in learning activities as a team phenomenon would consolidate team learning as an organically formed practice that would be robust against changes in team composition, work conditions, and policy. It is thus essential that teachers not only individually seek advice or feedback for their own benefit, but improve their capacity as a team by collectively sharing information and discussing what important areas of improvement are (Wang and Noe 2010). This would mean that engagement in social learning activities such as sharing of information and reflections would be both a characteristic of individuals in teams as well as a property of teams as a whole. Nonetheless, research assessing the multilevel structure of information sharing and discussing in teams as well as its antecedents, is largely lacking (see however, Nguyen et al. 2021; Quigley et al. 2007, and see also Spillane et al. 2012, for information sharing in dyads).
Amongst the antecedents of teacher engagement in learning activities, scholars repeatedly point towards the role of a team’s efficacy beliefs, its degree of interdependence, and transformational leadership practices of its leader for effective learning (Cabrera and Cabrera 2005; Geijsel et al. 2009; Karacabey et al. 2022; Lundqvist et al. 2023; Luo et al. 2022; Maynard et al. 2013; Ortiz et al. 1996; Mullan and Hutinger 2008; Stoll et al. 2006; Thoonen et al. 2011; Tjosvold 1986; Wahlstrom and Louis 2008; Wiley 2001). These antecedents do not need to be implemented, but can be discovered as naturally occurring resources of the workplace (Horn and Little 2010; Spillane et al. 2002). They provide an environment that is perceived as empowering, and provides direction and support to facilitate interaction and coordination for learning. Essentially, this environment structures uncertainty and ambiguity, enabling teachers to continue acting, and take charge of change (Coburn 2004; Oude Groote Beverborg et al. 2020; Staples and Webster 2008). These antecedents of teacher learning should facilitate engagement in learning activities of the team, and not just of individual members in the team, which means that (parts of the) perceptions of them should be shared by team members. However, despite that many studies conceptualize learning, efficacy, interdependence, and leadership as shared properties of teams (e.g., Edmondson 2002; Grossman et al. 2001; Runhaar et al. 2010; Tjosvold et al. 2004a, b; Walumbwa et al. 2005; Wong et al. 2009), the studies that conceptualize and assess them in a multilevel way are still scarce (Yammarino et al. 2008; but see for example Aritzeta and Balluerka 2006; Huang et al. 2023; Jung and Sosik 2006; Nguyen et al. 2021; Tasa et al. 2007; Vanblaere and Devos 2016; Wang et al. 2013; Zhang and Liu 2023).
In this context specific study (Edmondson et al. 2007) I will assess how collective-efficacy, goal interdependence, and transformational leadership practices affect engagement in information sharing as social and reflective learning activity (e.g., Leithwood et al. 2002; Nissilä 2005; Tjosvold 1986) and whether relations are similar (isomorph) on the individual and the team level (Klein et al. 1999; Rousseau 1985), with a cross-sectional multilevel structural equation model (MSEM). The analysis will be based on questionnaire data of about 360 VET teachers from 60 teams.
Theoretical background
This research is based on a framework of teacher learning as developed in research on the interplay between leadership practices, organizational conditions, motivations of teachers, and engagement in professional learning activities (Geijsel et al. 2001, 2009; Oude Groote Beverborg et al. 2015a; Oude Groote Beverborg et al. 2020; Sleegers et al. 2014; Thoonen et al. 2011). The overarching structure of the framework was tested in different educational settings, by exchanging similar specific concepts, and with different analyses methods. Findings from this line of research consistently show that the effect of transformational leadership practices on engagement in professional learning activities is mediated by organizational conditions and motivation (see also Lundqvist et al. 2023). The conceptual model used in this study is based on these findings. Figure 1 shows the concepts that are specifically used here and their hypothesized relations, which will be specified below.
Theoretical model of the effects on the individual and the group level. The concepts are individual perceptions that may be consistent in teams to assess to isomorphic properties of the effect of transformational leadership on information sharing as mediated by goal interdependence and collective-efficacy on the individual and the team level. Collective-efficacy’s meaning does not translate as easily to the individual level as do the meanings of the other concepts to the team level. On the individual level it can be seen as measurement error or individual deviations from the team’s variances
Information sharing
Engagement in professional learning activities, such as information sharing, is considered crucial for promoting professional development and school improvement and enhancement of student results (Bolam et al. 2005; Garet et al. 2001; Geijsel et al. 2001; Korthagen 2001; Kwakman 2003; Mullen and Hutinger 2008; van Woerkom 2004). Not surprisingly then have they been made part of the job description of VET teachers in the Netherlands (Onderwijscoöperatie 2012). Information sharing is conceptualized as seeking advice from team members and discussing with them what important areas of improvement are (Spillane et al. 2012; van Woerkom 2004). On the individual level, it is the engagement of individual teachers in these social activities for their own improvement. On the team, level it is the consistent engagement in information sharing of all team members so that a steady flow of information stimulates all teachers to keep attending to ways to improve as a team (e.g., Cabrera and Cabrera 2002; Cabrera et al. 2006; Edmondson 2002; Lodders 2013; Wang and Noe 2010). Being a reflective learning activity, it is nested in a social context (Nonaka 1994; van Woerkom 2003). By making implicit knowledge explicit teachers can inform others and discuss and decide on proper scripts for future actions. As such, information sharing is aimed at the discovery of knowledge that is needed in a changing environment of student populations and policies where solutions that were once found expire (Klarner et al. 2008; Korthagen and Vasalos 2005). Thus, by engaging in information sharing, teachers can generate new educational practices, spread them further through the team, and help the team to monitor its progress (Cochran-Smith and Lytle 1999; Sleegers et al. 2014; Thoonen et al. 2011; van Woerkom 2003).
Collective-efficacy
Collective-efficacy is self-efficacy’s image on the team level (Bandura 1986; Goddard et al. 2004; Ninković and Knežević Florić, 2018). It refers to shared belief of team members to come to satisfying solutions to challenges with the team as a whole, and emerges as a function of the dynamic interplay among team members (Bandura 1997; Jung and Sosik 2002; Preacher et al. 2010). It develops in teams when teams perceive to have found satisfying solutions in various problematic or uncertain situations, and when people perceive their team members to resolve problems (Bandura 1997). Collective-efficacy beliefs have to be created by team members themselves and cannot be directly implemented. The expectancy of being efficacious in overcoming future problems serves as a powerful motivator (Luo et al. 2022; Thoonen et al. 2011).
As do individuals, teams with higher levels of collective-efficacy will persist in the face of difficulties, feel empowered, are less constraint by ambiguity, and will thus arrive quicker at a satisfying solution (e.g., Bandura 1993; Caprara et al. 2008; Goddard et al. 2004). Research has related efficacy beliefs in and of teams to perceived team performance, commitment, growth of (desired) instructional practices, and student results (Gully et al. 2002; Jung and Sosik 2002; Katz-Navon and Erez 2005; Moolenaar et al. 2012; Sleegers et al. 2014; Tasa et al. 2007; Truijen 2012). Most importantly for this study are the findings from cross-sectional studies showing that teams of teachers will engage more in collaboration and professional learning activities (Karacabey et al. 2022; Meyer et al. 2022) and that teachers in those teams will more steadfastly socially reflect and share information when they are motivated through their believe to be collectively efficacious (Geijsel et al. 2009; Runhaar 2008; Thoonen et al. 2011; Yost 2006).
Based on this, I expect that collective-efficacy beliefs have positive effects on the contributions to a flow of information in teams (information sharing on the team level; hypothesis 1).
Goal interdependence
Previous studies into schools as professional communities have shown that organizational conditions such as cooperation, participative decision making, and a climate of trust, can foster teachers’ professional learning in schools (Kwakman 2003; Leithwood et al. 1993; Nguyen et al. 2021; van Woerkom 2004). Additionally, common goals, collaborative experiences, peer interaction, and the exchange of knowledge and ideas are at the core of professional learning communities and can facilitate educational improvement (Luyten and Bazo 2019). For the attainment of such achievements a certain degree of goal interdependence that creates opportunities and direction for interaction and effective learning between team members is required (e.g., Stoll et al. 2006). Individual teachers perceive goal interdependence to the extent that they perceive that their own benefits and costs depend upon not only their own goals but also those of their team members (Runhaar et al. 2010; van der Vegt et al. 2000). To mutually pursue and reach a team’s common goals a degree of interaction and coordination is needed (Deutsch 1980; van der Vegt and van de Vliert 2002; Weldon and Weingart 1993). Through such collaboration, teachers may discover that their team members can make valuable knowledge and skills explicit which can be shared and used as resources for learning in and of their teams for the attainment of their common goals (Wageman 1995, see also Spillane et al. 2002). Indeed, goal interdependence is positively related with learning from mistakes, open-minded discussions, exchanging information and the development of new insights and discoveries, improvements in work flow, higher achievement and greater productivity, as well as with heightened reflexivity and consequently innovation (Alper et al. 1998; Johnson, and Johnson 2009; Runhaar et al. 2014, 2010; Salanova et al. 2006; Schippers et al. 2003; Tjosvold 1986; Tjosvold et al. 2004a, b; Tjosvold et al. 2004a, b).
As a structural resource for the team, goal interdependence specifies a course of action and thus reduces all teachers’ feelings of uncertainty and strengthens their collective beliefs in their ability to foster both individual and collective learning (e.g., Aritzeta and Balluerka 2006; Staples, and Webster 2008). Research on the role of collaboration in teacher learning has shown that the more teachers collaborate, the stronger they believe in their capabilities to achieve desired results and the more they are engaged in professional learning (Geijsel et al. 2009; Thoonen et al. 2011). Indeed, the pursuit of common goals has been shown to foster teachers’ self and collective-efficacy beliefs (Oude Groote Beverborg et al. 2015a; Zhang and Liu 2023).
Based on these findings, I expect that goal interdependence has a positive effect on information sharing on the individual level (hypothesis 2a) and on the team level (hypothesis 2b), as well as on collective-efficacy (on the team level; hypothesis 3).
Transformational leadership
The concept of transformational leadership as developed by Bass (1985) offers an empirically grounded theory about the supporting role of leadership aimed at development in a context of organizational change (Bass and Avolio 1994; Leithwood et al. 2002; Leithwood and Sleegers 2006; Stoll et al. 2006). A transformational leader is committed to the empowerment of individual teachers and the team as a whole (Avolio et al. 2004; Yammarino et al. 2008). Three transformational leadership dimensions have been found critical for enhancement engagement in learning activities such as information sharing (Dionne et al. 2004; Geijsel et al. 1999; Oude Groote Beverborg et al. 2015a). The first transformational leadership dimension of initiating and identifying a vision refers to a leader who works on the development of shared goals and priorities, by inspiring teachers to formulate shared goals, connect to these, commit to them, and try to attain them. A vision can also function as a resource that constrains teachers’ feelings of uncertainty and ambivalence in the workplace (Oude Groote Beverborg et al. 2020). The second dimension of individualized consideration refers to attention to individual needs and feelings. Acting as a role model, coaching, delegating challenging tasks, and providing feedback, are common ways of helping followers elevate their personal potential, through which teachers may feel empowered to seek out team members to interact, and exchange information with. The third refers to intellectual stimulation with sufficient challenge and support for teachers to continuously calibrate the adequacy of their knowledge and instructional practices, through which teachers may perceive conflict as functional for attaining precise definitions of problems and come to formulate shared goals, rather than as a clash of interests (Oude Groote Beverborg et al. 2015a; Dionne et al. 2004; Geijsel et al. 1999).
Additionally, the three transformational leadership dimensions can be conceptualized at the team level (Avolio and Bass 1995; Yammarino et al. 2008; see also Lundqvist et al. 2023), and would refer for all three dimensions to the consistency of the transformational behaviors in the perceptions of all individual team members. As a vision counts for the team as a whole, it is easily imagined that a leader shares the same content with all team members, but the leader may also vary the specifics of the vision when sharing it with individual teachers so as to produce a similar, and thus consistent, perception (see also Paulus 2014; Vygotsky 1978). In a similar vein, individualized consideration and intellectual stimulation on the team level could refer to a leader attending to teachers’ needs and feelings, or challenging them, in the same way (e.g., Avolio and Bass 1995), but the leader may also vary behaviors as to optimally address each individual’s personal potential, or assess the teacher’s knowledge and practices. As said, what counts for the transformational leader as a team characteristic are consistent perceptions of individual teachers in the team.
Studies have shown direct transformational leadership effects on teacher engagement in learning activities and learning related concepts such as creativity and perceptions of team performance, as well as on efficacy beliefs and other motivational concepts such as commitment (BellibaÅŸ et al. 2021; Karacabey et al. 2022; Liu et al. 2020; Luo et al. 2022; Luyten and Bazo 2019; Oude Groote Beverborg et al. 2015; Oude Groote Beverborg et al. 2020; Oude Groote Beverborg et al. 2015b; Runhaar et al. 2010; Sleegers et al. 2014; Truijen 2012; Vanblaere and Devos 2016; Walumbwa et al. 2005; Wang et al. 2013). However, these effects were not found consistently; Geijsel et al. 2009; Jung and Sosik 2002; Korek et al. 2010; Nir and Kranot 2006; Tayag and Ayuyao 2020; Zhang and Liu 2023). What has been consistently reported in the literature, is that these effects are mediated though perceptions of the work environment (Lundqvist et al. 2023), such as perceptions of goal interdependence (Oude Groote Beverborg et al. 2015a).
Based on the above, I expect that the transformational leadership practices positively affect perceptions of goal interdependence on the individual level (hypothesis 4a) and on the team level (hypothesis 4b).
The present study
The present study examines the effects of transformational leadership practices on teacher engagement in the learning activity information sharing and their collective efficacy beliefs as mediated by their perceptions of being goal interdependent in their work environments. For this, I use a multilevel structural equation modelling framework and questionnaire data. This modelling framework also allows for discovering relations other than the ones hypothesized above. I assess the validity and reliability of the scales on the individual level. Intraclass correlations of the scales were calculated to assess whether these variables can be considered characteristics of the team, such that individual teachers’ perceptions of their leaders’ transformational practices as well as their interdependence in pursuing goals are consistent within teams, that efficacy beliefs about the team are shared by all team members, and that team members contribute to the availability of information in their teams in an equal way. Finally, a multilevel path model is fitted to the data, based on which relations are interpreted.
Methods
Sample and data collection
The data collection for this study was conducted in six VET colleges that were located throughout the Netherlands (Oude Groote Beverborg et al. 2020). Four colleges were double the size of the other two colleges, however they otherwise appeared to be similar. College characteristics were therefore not taken into further consideration. The colleges consisted of different educational departments (such as Technology, Economics and Business, Health and Welfare, and Education) and these consisted of multidisciplinary teams. A multidisciplinary team is responsible for the coaching of a group of students, the guiding of these students’ learning processes, curriculum planning and the assessment of these students. Data were collected from teachers of such multidisciplinary teams and convenience sampling was used to obtain a sample as large as possible.
The VET colleges were contacted through their board of directors. Within two colleges, teachers were contacted directly by asking to participate in the research. In the other four colleges team leaders were asked whether their teams were willing to participate. It was made clear that participation was voluntary, and that data would be treated confidentially.Footnote 1 Participating teams received questionnaires. To increase response, each team was offered a presentation of the main findings.
The questionnaires were administered in 2011 through the online program survey-monkey. Questionnaires were sent to 857 teachers of 70 teams. Minimum response from one team was 0, maximum response from one team was 22. In total 449 teachers from 60 teams returned the questionnaire; a response rate of about 52%. The response rate from the teachers that participated through their team leaders was about twice as high as from the teachers that were contacted directly. For reasons such as not having filled out the questionnaire completely, 87 responses were removed from further analysis. Thus, the analyses are based on 362 teachers from 60 teams.
Of the teachers who participated in this study 68% were men. The average age was 48 years (standard deviation 10 years, minimum age was 20, maximum age was 63). Most of the teachers that participated in the study worked more than 32 h per week (62%). Most of the teachers had worked as a teacher for more than 20 years (32%). A sizeable portion of them had worked as a teacher for about 10 years (22%), and a small portion had just begun working as a teacher (2%). Most of the teachers had a bachelor’s degree (74%). 16% of the teachers had a master’s degree, while 10% had finished a study at secondary educational level.
Measures of the model variables
For this study the constructs were measured using existing, well validated, scales on transformational leadership, which consisted of the subscales vision building (5 items), individual consideration (5 items) and intellectual stimulation (6 items; Geijsel et al. 2009), goal interdependence (3 items; Runhaar 2008), collective-efficacy (5 items; Goddard 2002; Moolenaar et al. 2012), and information sharing (7 items; van Woerkom 2003) (see also Oude Groote Beverborg et al. 2015a).
With four exploratory factor analyses (EFA’s) the structure was assessed of the items per scale within each larger construct (transformational leadership, goal interdependence, collective-efficacy, and information sharing). These analyses were conducted with Mplus 7. Based on the EFA’s, 1 item from the self-reflection scale, and 3 items from the information sharing scale were dropped. Three corresponding first order confirmatory factor analyses (CFA’s) and one second order CFA subsequently showed that the resulting scales had good structures. To assess if the 4 latent constructs (with 28 items and 7 latent constructs in total) fitted the data, a measurement model was estimated. It showed a sufficient fit to the data, Χ2(341) = 672.016, p = 0.000, RMSEA = 0.052, CFI = 0.948, SRMR = 0.048. The internal consistencies of the scales indicated that all factors had good reliabilities (Cronbach’s α’s ranged between 0.743 and 0.956). The parameter estimates (i.e., the factor loadings, and residual variances), as well as the reliabilities of the scales, are presented in Appendix A. On the basis of the results of the measurement model, scales were composed by averaging the item scores to their (super) scales. For the means, and standard errors of the composed scales, and the correlations between the scales see Appendix B.
Multi-level analysis was planned to be conducted. All of the variables were conceptually meaningful at the group level, but were measured at the individual level. To check if the data allowed the variances of the variables to be modelled at the team level in addition to the individual level, the scales’ intraclass correlations (ICC’s) were assessed. For each variable, two ICC’s were calculated. ICC(1) stands for the agreement of the ratings of a variable between the respondents per team. When ICC(1) is larger, respondents are more alike (Bliese 2000). ICC(1) values of 0.10 are considered as medium, and those of 0.15 as large, in educational contexts (Hox 2002). ICC(2) stands for the reliability of the group means within a sample. As with other measures of reliability (such as Cronbach’s alpha) ICC(2) values are considered acceptable when they equal, or exceed, 0.50, and are considered good when they equal or exceed 0.70 (Bliese 2000). ICC(1)’s of all variables were estimated in one analysis, and were large for all four variables. ICC(2)’s of all variables were calculated from the ICC(1)’s using the Spearman-Brown formula, which, essentially, adjusts the ICC(1) for group size (Bliese 2000). ICC(2)’s of all variables were acceptable. Thus, the variance of the variables exists at both the individual and the team level, and could be modelled accordingly on both levels. See appendix B for ICC(1) and ICC(2) values of the variables.
Analysis-procedure for the models
The relationships between the variables depicted in Fig. 1 were investigated through multi-level structural equation modeling (MSEM). In MSEM within level variance is separated from between level variance by modelling both as factors (Preacher et al. 2010). Collective-efficacy was conceptually relevant only at the between level, and transformational leadership, goal interdependence and information sharing were conceptually relevant at both levels. Preacher et al. (2010) indicate that variables that are conceptually relevant at the between level, but are measured at the within level, are best modelled at both levels to reduce the chances of not finding significant effects, and to prevent biases like underestimating standard errors. The within level variances of the variables that are conceptually relevant only at the between level (in this case collective-efficacy), have the meaning of variance of measurement error, and thus serves as a correction for the interpretation of the values of the variable on the between level (Preacher et al. 2010).
The following goodness of fit measures for the MSEM analysis were used: Chi-square (Χ2), Root Mean Squared Error of Approximation (RMSEA), Comparative Fit Index (CFI) (Hu and Bentler 1999), and the Standardized Root Mean Square Residual for the within part and the between part of the model separately (SRMR-w, and SRMR-b, respectively). The fit of the model is good when the Χ2 is not significant, RMSEA ≤ 0.06, CFI is above 0.95, and SRMR ≤ 0.08 (Hu and Bentler 1999; see also Kenny 2012). If appropriate, model modifications were carried out based on the modification indices, that is, relations were added if that would improve the fit of the model to the data. Nested models were compared by using the Satorra-Bentler scaled Chi-square difference test (ΔΧ2SB, Satorra, and Bentler 2001) with degrees of freedom (df) equal to the difference in numbers of parameters that are free to be estimated.
Results
The two-level structural path model was fit to the data. The fit of the model to the data was not good, as indicated by a Χ2(4) of 26.116 (p = 0.000), a CFI of 0.881, an RMSEA of 0.124, an SRMR-within of 0.031 and an SRMR-between of 0.091. Modification indices indicated that the model could be improved if the direct effect of transformational leadership on information sharing was added. This addition resulted in a second, sufficiently fitting, model, as indicated by a Χ2(2) of 8.950 (p = 0.011), a CFI of 0.963, and an RMSEA of 0.098. Both the within and the between part of the model fitted well, as indicated by an SRMR-within of 0.038 and an SRMR-between of 0.021, and this second more restrictive model fitted the data better than the first model, as indicated by a ΔΧ2SB(2) of 16.431 (p = 0.000). Based on the principle of parsimony, the non-significant relations were removed from the model (these were the effect transformational leadership on goal interdependence on the between level, the effect of collective efficacy on information sharing on the between level, and the effect of goal interdependence on information sharing on the within level). This resulted in a third model, that had a good overall fit: Χ2(6) = 9.348 (p = 0.155), CFI = 0.982, RMSEA = 0.039. The SRMR-within was still good (0.038), but de SRMR-between (0.140) showed a lesser fit on the between-level. Overall, the third model fit the data as well as the more restrictive second model, as indicated by a ΔΧ2SB(4) = 2.935, p = 0.569. Effects sizes of the relations in the third, final, model are presented in Fig. 2.
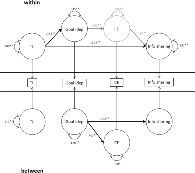
Two-level path model of the effect of transformational leadership on information sharing as mediated by goal interdependence and collective-efficacy. Note: Rectangles represent observations, circles represent factors. TL = transformational leadership, Goal idep = goal interdependence, CE = collective-efficacy, Info sharing = information sharing. Collective efficacy is conceptually relevant only at the between level, but was measured at the within level. It, its variance, its effect, and the effect on it are grey to indicate that it serves as a correction for the effect of collective-efficacy at the between level. Information sharing’s variance on the between level does not significantly deviate from 0. *p < .05, **p < .01
Results of the final two-level structural path model showed that the variables and their relations in the model explained 10% of information sharing’s variance on the individual level and 91% of its variance on the team level. Furthermore, its residual variance at the team level was not significant.
Hypothesis 1 was not confirmed. Collective-efficacy did not affect information sharing on the team level. Shared perceptions of the team as an effective problem-solving entity had no relation to the level of contributions to an information flow within the team.
Hypothesis 2a was not confirmed, whereas hypothesis 2b was. Goal interdependence had a large effect (0.622) on information sharing on the team level, but no effect on the individual level. Teams of teachers, who have higher levels of consistent perceptions of collaborating towards shared goals, also have higher levels of contributions to an information flow within the team. Individual perceptions of collaborating towards shared goals do not relate to levels of individual teachers’ contributions to an information flow.
Hypothesis 3 was confirmed. Goal interdependence had a large effect (0.747) on collective-efficacy on the team level. Teams of teachers, who have higher levels of consistent perceptions of collaborating towards shared goals, consequently have higher levels of shared perceptions of the team as an effective problem-solving entity.
Hypothesis 4a was confirmed, but hypothesis 4b was not. Transformational leadership did not affect goal interdependence on the team level, but it did have a large effect (0.351) on goal interdependence on the individual level. Consistent perceptions of leaders who initiate and identify goals, attend to individual needs and feelings, and challenge teachers to improve, do not relate to higher levels of consistent perceptions of collaborating towards shared goals within teams, but when levels of individually perceived transformational leadership practices are higher, levels of individual perceptions of collaborating towards shared goals are consequently also higher.
Additionally, a non-hypothesized effect of transformational leadership on information sharing on the individual level was found, based on the modification indices. When individual teacher perceptions of leaders who initiate and identify goals, attend to individual needs and feelings, and challenge teachers to improve, have higher levels, levels of individual teachers’ contributions to an information flow are consequently also higher.
To be complete, I also elaborate on the found effects to and from collective-efficacy on the individual level. Whereas collective-efficacy is conceptually relevant at the team level, it was measured at the individual level, and to improve model estimation it was modelled at both levels (Preacher et al. 2010). Collective-efficacy modelled at the individual level can be seen as variance of the error term. Goal interdependence had a large effect on collective-efficacy, which in turn had a moderate effect on information sharing. The individually varying teacher perceptions of collaborating towards shared goals largely affected the inconsistent parts of the teachers’ experiences of working in a competent team. This means that individual teachers, who perceive to be more goal interdependent than their team members perceive that, consequently have expectations that are higher than their team members about their teams’ capacity to overcome obstacles to come. In turn, the inconsistencies in experiences of team competences affect perceptions of teachers on how they themselves contribute to social learning in their teams. This means that teachers who perceive their team to be more competent than their team members do, consequently perceive themselves to contribute more to social learning than their team members think of themselves they are contributing.
In sum, the individually varying teacher perceptions of their leader as inspirational for the formulation and attainment of shared goals, attending to individual needs and feelings, and challenging towards improvement, directly and positively influenced individual teacher engagement in information sharing in the team. These perceptions of the transformational leader also directly and positively influenced individual perceptions of goal interdependence. When (partly) consistent perceptions of this structural resource for the attainment of goals emerged, then it directly and positively influenced shared contributions to a flow of information of the team, as well as shared feelings of competence of the team.
Discussion
This study assessed whether transformational leadership practices, goal interdependence, and collective-efficacy, as perceived by individual teachers, as well as engagement in the learning activity information sharing by individual teachers, could be used as team characteristics in a multilevel structural equation model. This model assessed the structural resonance (isomorphism) of the hypothesized impact of transformational leadership on information sharing as mediated by goal interdependence and collective-efficacy on the individual and team level. Based on questionnaire data of about 360 VET teachers from 60 teams, I found little evidence for isomorphism.
Transformational leadership practices, goal interdependence, collective-efficacy, and information sharing could be considered team characteristics. Still, differences remained between individual teachers in their perceptions of their leaders’ transformational behaviors, of the level of goal interdependence in the team, of the level of competence of the team, and between their contributions to making information available for themselves and other team members.
Collective-efficacy did not affect teachers’ engagement in information sharing on the team level. A shared belief in a team’s competence to overcome future obstacles has no relation to the shared contribution to a flow of information in the team. Thus, this finding fails to contribute evidence for the resonation on the team level of findings showing that efficacy beliefs as personal resources can impact teachers’ engagement in learning activities in teams (Geijsel et al. 2009; Karacabey et al. 2022; Luo et al. 2022; Meyer et al. 2022; Thoonen et al. 2011; Yost 2006) and of findings showing that efficacy beliefs as team resources can impact performance of teams (Gully et al. 2002; Tasa et al. 2007; Truijen 2012)., Nevertheless, longitudinal research has shown that the opposite effect is also possible. Efficacy beliefs can have a reciprocal relationship with work engagement over time and can be impacted by teachers’ engagement in learning activities over time (Oude Groote Beverborg et al. 2015; Simbula et al. 2011). A social learning activity such as information sharing, which allows teams of teachers to discover solutions for problems and monitor the progress of their implementation, would then help them develop expectations that they can also overcome future challenges. As such, more longitudinal research is needed to unravel the specifics of the relation between collective efficacy and engagement in learning activities.
The results furthermore showed that a collective belief in a team’s competence itself could be boosted. Goal interdependence largely influenced collective-efficacy. By having shared perceptions of pursuing shared goals within teams, team members share a confidence in the competence of the team to overcome obstacles. This finding on the team level supplements the evidence for the effect of individual teachers’ perceptions of their pursuits of a common goal on their individual beliefs of being efficacious (Oude Groote Beverborg et al. 2015a; Zhang and Liu 2023). Although collective-efficacy did not affect information sharing of teams, elevating a team’s collective-efficacy beliefs through consistent perceptions of goal interdependence might still be beneficial for its performance and commitment (Gully et al. 2002; Tasa et al. 2007; Truijen 2012).
Goal interdependence as a team property also boosted the flow of information of the team. The team level variance of information sharing there was, was largely explained by consistent perceptions of goal interdependence. No team level variance of information sharing was left to be explained. By having shared perceptions of interacting and coordinating toward a shared goal within teams, teams keep up a flow of information. This result supports findings showing that the perception of common goals can contribute to (shared) engagement in learning activities of teams (Schippers et al. 2003; Tjosvold et al. 2004a, b; see also Nguyen et al. 2021). Individual perceptions of goal interdependence did not however affect individual teachers’ engagement in information sharing, although such an effect has been reported in the literature (Oude Groote Beverborg et al. 2015a, 2015b; Runhaar et al. 2010; see also Luyten and Bazo 2019; Staples and Webster 2008). Apparently, it has its effect only when team members share a sufficient amount of perceptions of goal interdependence, and only when team members also share a sufficient amount of engagement in information sharing. As such, assessing the isomorphic properties by modelling all concepts on both the individual and the team level revealed that goal interdependence’s effect on the team level did not resonate on the individual level. This is in line with research showing that the effect of collaborative culture on professional learning is very much larger on the team level than on the individual level (Nguyen et al. 2021). This points towards the need for more research that assesses the multilevel structure of professional learning communities and the isomorphic properties therein (Sleegers et al. 2013).
It would thus appear that the process by which information sharing is affected by perceived goal interdependence is the following (see also McArdle and Coutts 2010). Teachers discover that their team members can function as resources for their goal attainment, and hence take opportunities to interact and coordinate with them. While formulating shared goals and deliberating how to reach them, teachers constrain themselves and each other so that their perceptions of being goal interdependent become consistent. Thus, goal interdependence becomes a property of the team. This team property then facilitates continuous generation of new information for all members in the team, as well as beliefs in the competence of the team. Seen this way, it is the enactment of interdependence by individual teachers that facilitates shared engagement in social learning activities, and collective confidence, of teacher teams (see also Clarke and Hollingsworth 2002).
Where goal interdependence affected information sharing on the team level, I found that transformational leadership directly and positively affected individual teachers’ engagement in information sharing on the individual level. This effect was not hypothesized but added based on the modification indices. Leaders, who initiate and identify goals, attend to individual needs and feelings, and challenge teachers to improve, elevate individual teachers’ contributions to a flow of information in their teams. This finding adds evidence to the impact transformational leaders can have on teachers’ engagement in learning activities (Oude Groote Beverborg et al. 2020; Runhaar et al. 2010).
Furthermore, transformational leadership had an impact on goal interdependence on the individual level. Leaders, who initiate and identify goals, attend to individual needs and feelings, and challenge teachers to improve, elevate individual teachers’ perceptions of collaborating on shared goals. This finding corroborates existing evidence that transformational leaders positively affect perceptions of the workplace (Geijsel et al. 2009; Huang et al. 2023; Jung and Sosik 2002; Nir and Kranot 2006; Tayag and Ayuyao 2020; Thoonen et al. 2011; Vanblaere and Devos 2016). Transformational leadership did not however affect goal interdependence on the team level. The transformational leadership effect did not resonate there. Consistent teacher perceptions of transformational leadership practices do not relate to their shared perceptions of interacting and coordinating to attain a shared goal. Consequently, the expected indirect effect on the team level of transformational leadership on collective-efficacy via goal interdependence could not be substantiated, even though transformational leadership was (partly) consistently perceived and hence a team property. It would thus appear that efficacy beliefs as a team property do not function as a lever between transformational leadership and functioning on the team level (e.g., Karacabey et al. 2022; Luo et al. 2022; Meyer et al. 2022; Oude Groote Beverborg et al. 2015; Schyns 2004; Walumbwa et al. 2005). It would thus appear that, whereas teachers may be individually inspired by the transformational leadership practices of their team leader, they make goal interdependence into a team property through the coordination amongst themselves. Longitudinal research showing the reciprocal relation between the transformational leadership practice vision building and goal interdependence, as well as the reversed effect of information sharing in goal interdependence, provides some evidence pointing in this direction (Oude Groote Beverborg et al. 2020). Future longitudinal and multilevel research could assess these questions regarding reciprocal and isomorphic mechanisms.
Apparently, transformational leaders affect teachers individually. They inspire individual teachers to engage in making knowledge explicit and sharing it with team members. They inspire those individuals to participate in coordination with others towards common goals even more. It would thus seem that transformational leaders are highly influential in helping teachers to discover that their team members can function as resources for their goal attainment, and to take opportunities to interact with them. This would allow for continuing coordination of the team, even when new members join it, and thus consistent perceptions of being goal interdependent are sustained. Transformational leaders thereby strengthen the robustness of teams of learning teachers (e.g., Barab and Duffy 2000; Giles and Hargreaves 2006; Grossman et al. 2001; Wenger 1998; Yost 2006). It could therefore be assumed that they would have a significant role in promoting changes in teacher capacities and higher student results (BellibaÅŸ et al. 2021; Heck and Hallinger 2009; Luyten and Bazo 2019; Sleegers et al. 2014; Thoonen et al. 2011; Vescio et al. 2008).
As these results show that teachers for a large part construct their learning amongst themselves, this does not mean that the leader becomes redundant by building a community of learning teachers. The results suggest that a transformational leader must be accessible by all individual teachers in the team. to individually address concerns about directions, needs, and interests. As concerns may arise at any time during one’s career, the transformational leader serves as an initiator for new team members to start to participate, and as a catalyst for continued team functioning for other team members.
Limitations and future research
This study largely corroborates, on the individual level, the overarching structure of the framework used in research on the interplay between leadership practices, organizational conditions, motivations of teachers, and engagement in professional learning activities, and supplement that research on the team level. It provides more insight into the multilevel structure of the role of transformational leadership practices and collaboration in teacher professional learning, where research therein is still scarce (Lundqvist et al. 2023; Nguyen et al. 2021; Vanblaere and Devos 2016). However, given the relatively low response rate in this study, future research using similar concepts and analyses within the same context is needed before the generalizability of these findings to Dutch VET teachers can be ascertained. Moreover, to more fully understand how team level properties emerge from interactions, coordination, and sharing between individuals, future research could use a broader mix of measurements and analyses, such as including the team leaders’ voices through questionnaires or interviews, or observations of team meetings and dynamic systems techniques (Kunnen and Bosma 2000; Lichtwarck-Aschoff et al. 2008; Stephen and Dixon 2009; Stephen et al. 2009).
The analysis method used in this investigation, MSEM, is more accurate to assess multilevel mediation models with than the commonly used method of step-wise regression with full aggregation of a variable (using calculated team means). It allows for modelling variables and their relations on both levels, thereby reducing conflation biases (Preacher et al. 2010). However, MSEM’s full potential could not be used in this study. As power was needed to fit the model, the analysis was not based on the items, but on calculated means of each variable’s scale. Thus, measurement error was not attenuated for. According to Preacher et al. (2010) this tends to bias effects downward for tests of regression parameters, because of the presence of unreliability in the observed variables. Given that a majority of the error variance of observed variables exists at the individual level, and that all the variables were measured at the individual level, this may help to explain why no effect of goal interdependence on information sharing was found. Relatedly, there was not enough power to assess the scales’ factor structure on two levels. Future research with more teams must validate the results found in this investigation. Such research could also assess the different dimensions of transformational leadership in a multilevel framework, for which there was not enough power. Only few studies have assessed this (e.g., Lodders 2013), and have investigated the transformational leadership practices possibly differentiated effects on the team level (e.g., Thoonen et al. 2011; Leithwood et al. 2008). Moreover, although removal of the non-significant effects from the model to make it more parsimonious resulted in a fit that was as good as the more restraint model for the overall model, this reduced the fit of the team level part of model. Nonetheless, inclusion of non-significant effects in the model improved its fit, but did not have a conceptually meaningful interpretation. This could in part be due to the relatively low power, but may also represent that the modelling of transformational leadership is unnecessary, as it did not affect any variable on the between level.
A further limitation of the study is that no ‘hard’ variables related to increased accountability measures such as performance or student results were included. The assumption that information sharing, especially as a team property, would be beneficial for such outcomes remains based on the literature (Bellibaş et al. 2021; Desimone 2009; Garet et al. 2001; Heck and Hallinger 2009; Leithwood et al. 2009; Luyten and Bazo 2019; Opdenakker and Van Damme 2007; Wiley 2001). Inclusion of these variables would greatly enhance the applicability of the research design. Additionally, future research that includes assessment of shared beliefs or meaning and shared responsibility as a collective focus on, and strategy for, students’ learning is essential for the functioning of an effective learning community (Fullan 2007; Stoll et al. 2006).
Collective-efficacy on the individual level was not within the focus of this study, but might be interpreted in an interesting way. Its substantial presence on the individual level indicates that what team competence means, differs between teachers from the same team. Its role as mediator between goal interdependence and information sharing resonates with the previous found working of self-efficacy (Oude Groote Beverborg et al. 2020). This suggests that absolute levels of teachers’ own self-efficacy and levels of collective-efficacy relative to their levels on the team have similar workings. One conclusion might thus be that the collective-efficacy scale may be used at the individual level to measure self-efficacy with. However, self-efficacy would then have to be conceptualized as the level of competence which a person expects to display in a given situation, relative to that person’s expectations of the level of competence of other people in the environment (see also Kenny and Garcia 2012, and Schudel and Maag Merki 2021). It would develop when a person not only finds satisfying solutions in various problematic situations, but also better or more solutions than others (see also Sedikides and Brewer 2001). If future research were to find evidence for this proposition, then people’s self-efficacy beliefs would not develop from small personal successes, such as making a proper planning or getting pleasant feedback from a student, but would only develop when such successes are perceived as unique and better than those of team members. This then would call for a need for (or lead to the emergence of) specialization of roles within teams if all team members are to perceive some part of their competence as better than that of the group as a whole (average), which could lead to role diversity (e.g. Schippers et al. 2003). In the case of the VET teachers in this study, who had very different backgrounds and taught different subjects, worked together in multidisciplinary teams, collective-efficacy on the individual level might just reflect this diversity in roles. Assessing the question of how collective-efficacy would emerge in multidisciplinary teams that are high in background and subject diversity seems a fruitful venue for future research.
Additionally, the relation between collective-efficacy and information sharing would be better understood if assessed in a longitudinal framework (e.g. McArdle 2009) with reciprocal relations (e.g. Heck and Hallinger 2010). Whereas efficacy beliefs may affect social learning (Oude Groote Beverborg et al. 2015a; Runhaar et al. 2010) continued social learning may also affect the development of efficacy beliefs (e.g. Oude Groote Beverborg et al. 2015; Salanova et al. 2006). Without learning, teachers would not experience the critical impacts of having found solutions to problems they addressed. Through continued learning, teachers may also learn to interact and coordinate effectively for successful goal attainment (Oude Groote Beverborg et al. 2020). Longitudinal research may also shed more light on the emergence of goal interdependence on the team level from individual teachers’ perceptions of goal interdependence. This process seems of critical importance in enhancing contributions to keeping a flow of information going of all team members.
Conclusion
This study showed that information sharing is enhanced differently for individuals than for teams. Individual teachers benefit from personal contact with their transformational leader. Their leader inspires them to participate in interactions and coordination for the attainment of common goals, and to seek advice from, and discuss improvements with, their team members. For teams of teachers, in turn, collectively enacting interdependence to pursue common goals keeps a flow of information going. This goal interdependence also fosters beliefs in the teams’ efficacies. This culminates in a system in which teachers shape their learning amongst themselves, with individual support from their leader.
Availability of data and materials
The datasets used and/or analyzed during the current study are available from the corresponding author on reasonable request.
Notes
Note that the study was carried out in accordance with the provisions of the World Medical Association Declaration of Helsinki. At the time of data collection, the data was collected according to ethical standards and there was no ethical committee in place at the university.
References
Alper S, Tjosvold D, Law KS (1998) Interdependence and controversy in group decision making: antecedents to effective self-managing teams. Organ Behav Hum Decis Process 74(1):33–52
Aritzeta A, Balluerka N (2006) Cooperation, competition and goal interdependence in work teams: a multilevel approach. Psicothema 18(4):757–765
Avolio BJ, Bass BM (1995) Individual consideration viewed at multiple levels of analysis: a multi-level framework for examining the diffusion of transformational leadership. Leadersh Q 6(2):199–218
Avolio BJ, Zhu W, Kho W, Bhata P (2004) Transformational leadership and organizational commitment: mediating role of psychological empowerment and moderating role of structural distance. J Organ Behav 25:951–968
Bandura A (1986) Social foundations of thought and action: A social cognitive theory. Prentice Hall, Englewood Cliffs
Bandura A (1993) Perceived self-efficacy in cognitive development and functioning. Educ Psychol 28:117–148
Bandura A (1997) Self-efficacy: the exercise of control. Freeman, New York
Barab SA, Duffy T (2000) From practice fields to communities of practice. Theor Found Learn Environ 1(1):25–55
Bass B (1985) Leadership and performance beyond expectations. Free press, New York
Bass BM, Avolio BJ (1994) Improving organizational effectiveness through transformational leadership. Sage, Thousand Oaks
Bellibaş MŞ, Kılınç AÇ, Polatcan M (2021) The moderation role of transformational leadership in the effect of instructional leadership on teacher professional learning and instructional practice: an integrated leadership perspective. Educ Adm Q 57(5):776–814. https://doi.org/10.1177/0013161X211035079
Bliese PD (2000) Within-group agreement, non-independence, and reliability: implications for data aggregation and analysis. In: Katherine JK and Kozlowski SW (eds.), Multilevel theory, research, and methods in organizations: foundations, extensions, and new directions. San Francisco: Jossey-Bass Inc., Publishers, pp 349–381
Bolam R, McMahon A, Stoll L, Thomas S, Wallace M, Greenwood A et al (2005) Creating and sustaining effective professional learning communities. Department for Education and Skills, London
Cabrera A, Cabrera EF (2002) Knowledge-sharing dilemmas. Org Stud 23(5):687–710
Cabrera EF, Cabrera A (2005) Fostering knowledge sharing through people management practices. Int J Hum Resour Manag 16(5):720–735
Cabrera A, Collins WC, Salgado JF (2006) Determinants of individual engagement in knowledge sharing. Int J Hum Resour Manag 17(2):245–264
Caprara GV, Fida R, Vecchione M, Del Bove G, Vecchio GV, Barbaranelli C, Bandura A (2008) Longitudinal analysis of the role of perceived self-efficacy for self-regulated learning in academic continuance and achievement. J Educ Psychol 100(3):525–534
Clarke DJ, Hollingsworth H (2002) Elaborating a model of teacher professional growth. Teach Teach Educ 18:947–967
Coburn CE (2004) Beyond decoupling: rethinking the relationship between the institutional environment and the classroom. Sociol Educ 77:211–244
Desimone LM (2009) Improving impact studies of teachers’ professional development: toward better conceptualizations and measures. Educ Res 38(3):181–199
Deutsch M (1980) Fifty years of conflict. In: Festinger L (ed) Retrospections on social psychology. Oxford University Press, New York, pp 46–77
Dionne SD, Yammarino FJ, Atwater LE, Spangler WD (2004) Transformational leadership and team performance. J Organ Chang Manag 17:177–193
Edmondson AC (2002) The local and variegated nature of learning in organizations: a group-level perspective. Organ Sci 13(2):128–146
Edmondson AC, Dillon JR, Roloff KS (2007) 6 three perspectives on team learning: outcome improvement, task mastery, and group process. Acad Manag Ann 1(1):269–314
Fullan M (2007) The new meaning of educational change, 4th edn. Teachers College Press, New York
Garet MS, Porter AC, Desimone L, Birman BF, Yoon KS (2001) What makes professional development effective? Results from a national sample of teachers. Am Educ Res J 38(4):915–945
Geijsel FP, Sleegers PJC, van den Berg RM (1999) Transformational leadership and the implementation of large-scale innovation programs. J Educ Admin 37:309–328
Geijsel F, Sleegers P, van den Berg R, Kelchtermans G (2001) Conditions fostering the implementation of large-scale innovation programs in schools: teachers’ perspectives. Educ Adm Q 37:130–166
Geijsel FP, Sleegers PJ, Stoel RD, Kruger ML (2009) The effect of teacher psychological and school organizational and leadership factors on teachers’ professional learning in Dutch schools. Elem Sch J 109(4):1–22
Giles C, Hargreaves A (2006) The sustainability of innovative schools as learning organizations and professional learning communities during standardized reform. Educ Adm Q 42(1):124–156
Goddard R (2002) A theoretical and empirical analysis of the measurement of collective efficacy: the development of a short form. Educ Psychol Measur 62(1):97–110
Grossman P, Wineburg S, Woolworth S (2001) Toward a theory of teacher community. Teachers Coll Record 103(6):942–1012
Gully SM, Incalcaterra KA, Joshi A, Beaubien JM (2002) A meta-analysis of team-efficacy, potency, and performance: interdependence and level of analysis as moderators of observed relationships. J Appl Psychol 87(5):819–832
Heck RH, Hallinger P (2009) Assessing the contribution of distributed leadership to school improvement and growth in math achievement. Am Educ Res J 46(3):659–689
Heck RH, Hallinger P (2010) Collaborative leadership effects on school improvement: Integrating unidirectional-and reciprocal-effects models. Elem Sch J 111(2):226–252
Horn IS, Little JW (2010) Attending to problems of practice: Routines and resources for professional learning in teachers’ workplace interactions. Am Educ Res J 47(1):181–217
Hox JJ (2002) Multilevel analysis: techniques and applications. Lawrence Erlbaum Associates, Publishers, Mahwah
Hu L, Bentler PM (1999) Cutoff criteria for fit indexes in covariance structure analysis: conventional criteria versus new alternatives. Struct Equ Model 6:1–55
Huang L, Huang Y, Zhou S (2023) Examining principal leadership effects on teacher professional learning in China: A multilevel analysis. Educ Manag Admin Leadersh 51(6):1278–1300. https://doi.org/10.1177/17411432211041626
Jarvis P (1987) Adult learning in the social context. Croom Helm, London
Johnson DW, Johnson RT (2009) An educational psychology success story: social interdependence theory and cooperative learning. Educ Res 38(5):365–379
Jung DI, Sosik JJ (2002) Transformational leadership in work groups. The role of empowerment, cohesiveness, and collective-Efficacy on perceived group performance. Small Group Res 33(3):313–336
Karacabey MF, Bellibaş MŞ, Adams D (2022) Principal leadership and teacher professional learning in Turkish schools: examining the mediating effects of collective teacher efficacy and teacher trust. Educ Stud 48(2):253–272. https://doi.org/10.1080/03055698.2020.1749835
Katz-Navon TY, Erez M (2005) When collective-and self-efficacy affect team performance the role of task interdependence. Small Group Research 36(4):437–465
Kenny, D.A. (2012). Measuring Model Fit. Published online on http://davidakenny.net/cm/fit.htm. Accessed 4 Sep 2012.
Kenny DA, Garcia RL (2012) Using the actor–partner interdependence model to study the effects of group composition. Small Group Res 43:468–496
Klarner P, Probst G, Soparnot R (2008) Organizational change capacity in public services: the case of the World Health Organization. J Chang Manag 8(1):57–72
Klein KJ, Tosi H, Cannella AA (1999) Multilevel theory building: Benefits, barriers, and new developments. Acad Manag Rev 24(2):248–253
Korek S, Felfe J, Zaepernick-Rothe U (2010) Transformational leadership and commitment: a multilevel analysis of group-level influences and mediating processes. Eur J Work Organ Psy 19(3):364–387
Korthagen F (2001) Linking practice and theory: The pedagogy of realistic teacher education. Paper presented at the Annual Meeting of the American Educational Research Association, Seattle, WA.
Korthagen F, Vasalos A (2005) Levels in reflection: core reflection as a means to enhance professional growth. Teachers and Teaching 11(1):47–71
Kunnen ES, Bosma HA (2000) Development of meaning making: a dynamic systems approach. New Ideas Psychol 18(1):57–82
Kwakman K (2003) Factors affecting teachers’ participation in professional learning activities. Teach Teach Educ 19:149–170
Leithwood K, Sleegers P (Eds) (2006) Special Issue of school effectiveness and school improvement 17(2): Transformational School Leadership.
Leithwood K, Jantzi D, Mascall B (2002) A framework for research on large-scale reform. J Educ Change 3(1):7–33
Leithwood K, Dart B, Jantzi D, Steinbach R (1993) Building commitment for change and fostering organizational learning (Final report for phase 4 of the Implementing British Columbia’s Education Policy research project). Victoria, Canada: British Columbia Ministry of Education.
Leithwood K, Harris A, Hopkins D (2008) Seven strong claims about successful school leadership. School Leadersh Manag 28(1):27–42
Leithwood, K., Louis, K. S., Wahlstrom, K., Anderson, S., Mascall, B., and Gordon, M. (2009). How successful leadership influences student learning: The second installment of a longer story. In Second international handbook of educational change (pp. 611–629). Springer Netherlands.
Lichtwarck-Aschoff A, van Geert P, Bosma H, Kunnen S (2008) Time and identity: a framework for research and theory formation. Dev Rev 28(3):370–400
Liu P, Li L, Wang J (2020) Understanding the relationship between transformational leadership and collective teacher efficacy in Chinese primary schools. Int J Leadersh Educ 23(5):604–617. https://doi.org/10.1080/13603124.2019.1623922
Lodders NMP (2013) Teachers learning and innovating together: exploring collective learning and its relationship to individual learning, transformational leadership and team performance in higher vocational education (Doctoral dissertation). http://doc.utwente.nl/83181/1/thesis_N_Lodders.pdf
Lundqvist D, Wallo A, Coetzer A, Kock H (2023) Leadership and learning at work: a systematic literature review of learning-oriented leadership. J Leadersh Org Stud 30(2):205–238. https://doi.org/10.1177/15480518221133970
Luo W, Ng DFS, Nguyen D, Ng PT, Salleh H (2022) Transformational leadership and its relations to teacher outcomes in Singapore: Mastery goals and self-efficacy as mediators. Leadersh Policy Sch 21(3):618–634. https://doi.org/10.1080/15700763.2020.1811879
Luyten H, Bazo M (2019) Transformational leadership, professional learning communities, teacher learning and learner centred teaching practices; Evidence on their interrelations in Mozambican primary education. Stud Educ Eval 60:14–31. https://doi.org/10.1016/j.stueduc.2018.11.002
Maynard MT, Mathieu JE, Gilson LL, O’Boyle EH, Cigularov KP (2013) Drivers and outcomes of team psychological empowerment A meta-analytic review and model test. Organ Psychol Rev 3(2):101–137
McArdle JJ (2009) Latent variable modeling of differences and changes with longitudinal data. Annu Rev Psychol 60:577–605
McArdle K, Coutts N (2010) Taking teachers’ continuous professional development (CPD) beyond reflection: adding shared sense-making and collaborative engagement for professional renewal. Stud Contin Educ 32(3):201–215
Meirink JA, Meijer PC, Verloop N, Bergen TC (2009) How do teachers learn in the workplace? An examination of teacher learning activities. Eur J Teach Educ 32(3):209–224
Meirink JA, Imants J, Meijer PC, Verloop N (2010) Teacher learning and collaboration in innovative teams. Camb J Educ 40(2):161–181
Meyer A, Richter D, Hartung-Beck V (2022) The relationship between principal leadership and teacher collaboration: Investigating the mediating effect of teachers’ collective efficacy. Educ Manag Admin Leadersh 50(4):593–612. https://doi.org/10.1177/1741143220945698
Moolenaar NM, Sleegers PJC, Daly AJ (2012) Teaming up: Linking collaboration networks, collective efficacy, and student achievement. Teach Teach Educ 28(2):251–262
Mullen CA, Hutinger JL (2008) The principal’s role in fostering collaborative learning communities through faculty study group development. Theory Pract 47(4):276–285
Nguyen D, Pietsch M, Gümüş S (2021) Collective teacher innovativeness in 48 countries: effects of teacher autonomy, collaborative culture, and professional learning. Teach Teach Educ 106:103463. https://doi.org/10.1016/j.tate.2021.103463
Ninković SR, Knežević Florić OČ (2018) Transformational school leadership and teacher self-efficacy as predictors of perceived collective teacher efficacy. Educ Manag Admin Leadersh 46(1):49–64. https://doi.org/10.1177/1741143216665842
Nir AE, Kranot N (2006) School principal’s leadership style and teachers’ self-efficacy. Plan Chang 37(3/4):205
Nissilä SP (2005) Individual and collective reflection: How to meet the needs of development in teaching. Eur J Teach Educ 28(2):209–219
Nonaka I (1994) A dynamic theory of organizational knowledge creation. Organ Sci 5(1):14–37
Onderwijscoöperatie (2012) Herijking: Het nieuwe voorstel bekwaamheidseisen. Recalibrating: the new proposition competence demands. https://www.onderwijscooperatie.nl/activiteiten/bekwaamheid/herijkte-bekwaamheidseisen/. Accessed 11 Jun 2014
Opdenakker MC, Van Damme J (2007) Do school context, student composition and school leadership affect school practice and outcomes in secondary education? Br Edu Res J 33(2):179–206
Ortiz AE, Johnson DW, Johnson RT (1996) The effect of positive goal and resource interdependence on individual performance. J Soc Psychol 136(2):243–249
Oude Groote Beverborg A et al (2015) Fostering teacher learning in VET colleges: do leadership and teamwork matter? Teach Teach Educ 48:22–33. https://doi.org/10.1016/j.tate.2015.01.015
Oude Groote Beverborg A et al (2015) Promoting VET teachers’ individual and social learning activities: the empowering and purposeful role of transformational leadership, interdependence, and self-efficacy. Empirical Res Voc Ed Train. https://doi.org/10.1186/s40461-015-0018-4
Oude Groote Beverborg A et al (2015) Towards sustaining levels of reflective learning: How do transformational leadership, task interdependence, and self-efficacy shape teacher learning in schools? Societies 5(1):187–219. https://doi.org/10.3390/soc5010187
Oude Groote Beverborg A, Sleegers PJC, Moolenaar NM, van Veen K (2020) Fostering sustained teacher learning. A longitudinal assessment of the influence of vision building and goal interdependence on teacher information sharing. School Effect School Improve 31(4):576–604. https://doi.org/10.1080/09243453.2020.1754863
Paulus M (2014) How and why do infants imitate? An ideomotor approach to social and imitative learning in infancy (and beyond). Psychon Bull Rev https://doi.org/10.3758/s13423-014-0598-1
Poortman CL (2007) Workplace learning processes in senior secondary vocational education (Doctoral dissertation). http://doc.utwente.nl/57877/1/thesis_Poortman.pdf
Preacher KJ, Zyphur MJ, Zhang Z (2010) A general multilevel SEM framework for assessing multilevel mediation. Psychol Methods 15(3):209–233
Quigley NR, Tesluk PE, Locke EA, Bartol KM (2007) A multilevel investigation of the motivational mechanisms underlying knowledge sharing and performance. Organ Sci 18(1):71–88
Rousseau DM (1985) Issues of level in organizational research: multi-level and cross-level perspectives. Res Org Behav 7(1):1–37
Runhaar PR (2008) Promoting teachers' professional development (Doctoral dissertation). http://doc.utwente.nl/60129/1/thesis_Runhaar,_P.pdf
Runhaar P, Sanders K, Yang H (2010) Stimulating teachers’ reflection and feedback asking: an interplay of self-efficacy, learning goal orientation, and transformational leadership. Teach Teach Educ 26(5):1154–1161
Runhaar P, ten Brinke D, Kuijpers M, Wesselink R, Mulder M (2014) Exploring the links between interdependence, team learning and a shared understanding among team members: the case of teachers facing an educational innovation. Hum Resour Dev Int 17(1):67–87
Salanova M, Bakker AB, Llorens S (2006) Flow at work: evidence for an upward spiral of personal and organizational resources. J Happiness Stud 7(1):1–22
Satorra A, Bentler PM (2001) A scaled difference chi-square test statistic for moment structure analysis. Psychometrika 66(4):507–514
Schippers MC, Den Hartog DN, Koopman PL, Wienk JA (2003) Diversity and team outcomes: the moderating effects of outcome interdependence and group longevity and the mediating effect of reflexivity. J Organ Behav 24(6):779–802
Schudel K, Maag Merki K (2021) Taking composition and similarity effects into account: theoretical and methodological suggestions for analyses of nested school data in school improvement research. In: Oude Groote Beverborg A, Feldhoff T, Maag Merki K, Radisch F (Eds.). Concept and design developments in school improvement research. State of the art longitudinal, multilevel, and mixed methods and their relevance for educational accountability. Springer.
Schyns B (2004) The influence of occupational self-efficacy on the relationship of leadership behavior and preparedness for occupational change. J Career Dev 30(4):247–261
Simbula S, Guglielmi D, Schaufeli WB (2011) A three-wave study of job resources, self-efficacy, and work engagement among Italian schoolteachers. Eur J Work Organ Psy 20(3):285–304
Sleegers P, den Brok P, Verbiest E, Moolenaar NM, Daly AJ (2013) Toward conceptual clarity. A multidimensional, multilevel model of professional learning communities in Dutch elementary schools. The Element School J 114(1):118–137. https://doi.org/10.1086/671063
Sleegers PJC, Thoonen EEJ, Oort FJ, Peetsma TTD (2014) Changing classroom practices: the role of school-wide capacity for sustainable improvement. J Educ Admin 52(5):617–652
Smylie MA (1995) New perspectives on teacher leadership. Element School J 96:3–7
Spillane JP, Reiser BJ, Reimer T (2002) Policy implementation and cognition: reframing and refocussing implementation research. Rev Educ Res 72(3):387–431
Spillane JP, Kim CM, Frank KA (2012) Instructional advice and information providing and receiving behavior in elementary schools exploring tie formation as a building block in social capital development. Am Educ Res J 49(6):1112–1145
Staples DS, Webster J (2008) Exploring the effects of trust, task interdependence and virtualness on knowledge sharing in teams. Inf Syst J 18(6):617–640
Stephen DG, Dixon JA (2009) The self-organization of insight: entropy and power laws in problem solving. J Probl Solv 2(1):6
Stephen DG, Dixon JA, Isenhower RW (2009) Dynamics of representational change: entropy, action, and cognition. J Exp Psychol Hum Percept Perform 35(6):1811
Stoll L (2009) Capacity building for school improvement or creating capacity for learning? A changing landscape. J Educ Change 10:115–127
Stoll L (2020) Creating capacity for learning: are we there yet? J Educ Change 21:421–430. https://doi.org/10.1007/s10833-020-09394-z
Stoll L, Bolam R, McMahon A, Wallace M, Thomas S (2006) Professional learning communities: a review of the literature. J Educ Change 7(4):221–258
Tasa K, Taggar S, Seijts GH (2007) The development of collective efficacy in teams: a multilevel and longitudinal perspective. J Appl Psychol 92(1):17–27
Tayag J, Ayuyao N (2020) Exploring the relationship between school leadership and teacher professional learning through structural equation modeling. Int J Educ Manag 34(8):1237–1251. https://doi.org/10.1108/IJEM-11-2018-0372
Thoonen EEJ, Sleegers PJC, Oort FJ, Peetsma TTD, Geijsel FP (2011) How to improve teaching practices: the role of teacher motivation, organizational factors, and leadership practices. Educ Adm Q 47(3):496–536
Tjosvold D (1986) The dynamics of interdependence in organizations. Hum Relations 39(6):517–540
Tjosvold D, Tang MM, West M (2004a) Reflexivity for team innovation in China the contribution of goal interdependence. Group Org Manag 29(5):540–559
Tjosvold D, Yu ZY, Hui C (2004b) Team learning from mistakes: the contribution of cooperative goals and problem-solving. J Manage Stud 41(7):1223–1245
Toole JC, Louis KS (2002) The role of professional learning communities in international education. In: Leithwood K, Hallinger P (eds) Second International Handbook of Educational Leadership and Administration. Kluwer Academic Publishers, Dordrecht, pp 245–279
Truijen, K. (2012). Teacher Teaming: Exploring Factors that Influence Effective Team Functioning in a Vocational Education context (Doctoral dissertation). http://doc.utwente.nl/80028/1/thesis_K_Truijen.pdf
Valckx J, Vanderlinde R, Devos G (2020) Departmental PLCs in secondary schools: the importance of transformational leadership, teacher autonomy, and teachers’ self-efficacy. Educ Stud 46(3):282–301. https://doi.org/10.1080/03055698.2019.1584851
van der Vegt G, van de Vliert E (2002) Intragroup interdependence and affectiveness: review and proposed directions for theory and practice. J Manag Psychol 17(1):50–67
van der Vegt G, Emans B, van de Vliert E (2000) Team members’ affective responses to patterns of intragroup interdependence and job complexity. J Manag 26(4):633–655
van Woerkom M (2004) The concept of critical reflection and its implications for human resource development. Adv Dev Hum Resour 6(2):178–192
Vanblaere B, Devos G (2016) Relating school leadership to perceived professional learning community characteristics: a multilevel analysis. Teach Teach Educ 57:26–38. https://doi.org/10.1016/j.tate.2016.03.003
Vescio V, Ross D, Adams A (2008) A review of research on the impact of professional learning communities on teaching practice and student learning. Teach Teach Educ 24(1):80–91
Vygotsky LS (1978) Mind and society: The development of higher mental processes. Harvard University Press, Cambridge
Wageman R (1995) Interdependence and group effectiveness. Adm Sci Q 40(1):145–180
Wahlstrom KL, Louis KS (2008) How teachers experience principal leadership: The roles of professional community, trust, efficacy, and shared responsibility. Educ Adm Q 44(4):458–495
Walumbwa FO, Lawler JJ, Avolio BJ, Wang P, Shi K (2005) Transformational leadership and work-related attitudes: The moderating effects of collective and self-efficacy across cultures. J Leadersh Org Stud 11(3):2–16
Wang S, Noe RA (2010) Knowledge sharing: a review and directions for future research. Hum Resour Manag Rev 20(2):115–131
Wang P, Rode JC, Shi K, Luo Z, Chen W (2013) A workgroup climate perspective on the relationships among transformational leadership, workgroup diversity, and employee creativity. Group Org Manag 38(3):334–360
Weldon E, Weingart LR (1993) Group goals and group performance. Br J Soc Psychol 32:3007–3334
Wenger E (1998) Communities of practice: learning, meaning, and identity. Cambridge University Press, New York (NY)
Wiley SD (2001) Contextual effects on student achievement: School leadership and professional community. J Educ Change 2(1):1–33
Woerkom M van (2003) Critical reflection at work: Bridging individual and organisational learning. Unpublished doctoral dissertation). University of Twente, Enschede, the Netherlands.
Wong A, Tjosvold D, Liu C (2009) Cross-functional team organizational citizenship behavior in China: shared vision and goal interdependence among departments. J Appl Soc Psychol 39(12):2879–2909
Yammarino FJ, Dionne SD, Schriesheim CA, Dansereau F (2008) Authentic leadership and positive organizational behavior: a meso, multi-level perspective. Leadersh Q 19:693–707
Yost DS (2006) Reflection and self-efficacy: Enhancing the retention of qualified teachers from a teacher education perspective. Teacher Educ Q Fall. https://doi.org/10.1016/j.leaqua.2008.09.004
Zhang J (2023) Liu Z (2023) How transformational leadership affects teacher collective efficacy? The mediating role of professional learning communities and the moderating role of trust. Asia Pacific J Educ. https://doi.org/10.1080/02188791.2023.2270173
Acknowledgements
Not applicable.
Funding
This work was supported by the NWO Programming Council for Educational Research (PROO) under Grant number 411-07-302.
Author information
Authors and Affiliations
Contributions
AOGB conducted the research, analyzed the data, interpreted the results, and wrote the paper.
Corresponding author
Ethics declarations
Competing interests
The authors declare that they have no competing interests.
Additional information
Publisher's Note
Springer Nature remains neutral with regard to jurisdictional claims in published maps and institutional affiliations.
Appendices
Appendix A
Scales and items used in the model. Values are derived from the measurement model.
All items were scaled as (1) disagree much, (2) partially disagree, (3) do not disagree, do not agree, (4) partially agree, (5) agree much.
Transformational leadership
Transformational leadership as a second order factor, derived from the following first order factors:
| Â | Factor loading | Residual variance |
|---|---|---|
Vision building | 1.000 | 0.204 |
Individual consideration | 1.230 | 0.187 |
Intellectual stimulation | 1.247 | 0.038 |
Transformational leadership’s subscales had the following items:
Vision building
Refers to the development of a shared vision, goals, and priorities (Geijsel et al. 2009).
My leader… | Factor loading | Residual variance |
|---|---|---|
…uses all possible occasions to share the vision of the department to the team, students, parents, and others | 1.000 | 0.377 |
…refers during decision making processes explicitly to the goals of the department | 1.034 | 0.371 |
…clarifies for the team the relation between the vision of the department and initiatives from the board of directors | 1.073 | 0.313 |
…describes from a vision for the future of the department in a clear way the current problems | 1.206 | 0.274 |
…sketches during meetings the consequences of the vision for the department’s current ins and outs | 1.141 | 0.285 |
Individualized consideration
Includes attending to the feelings and needs of individual teachers (Geijsel et al. 2009).
My leader… | Factor loading | Residual variance |
|---|---|---|
…takes the opinions of individual teachers seriously | 1.000 | 0.260 |
…shows appreciation when a teacher takes initiative for educational improvement | 0.997 | 0.326 |
…listens carefully to ideas of team members | 1.027 | 0.237 |
…has an eye and an ear for problems teachers experience during policy implementation | 1.029 | 0.259 |
…helps teachers to express their emotions | 0.900 | 0.471 |
Intellectual stimulation
Entails the support of teacher professional development and includes the constant challenging of teachers to readdress their knowledge and daily practice (Geijsel et al. 2009).
My leader… | Factor loading | Residual variance |
|---|---|---|
…encourages teachers to try new things in line with their own interests | 1.000 | 0.332 |
…stimulates teachers to reflect on how to improve in our department | 1.046 | 0.270 |
…encourages teachers to seek and discuss new information and ideas that are relevant to the direction in which the department is developing | 1.042 | 0.231 |
…engages individual teachers in ongoing discussion about their personal professional goals | 0.973 | 0.280 |
…encourages teachers to experiment with new teaching methods | 0.998 | 0.510 |
…creates sufficient opportunities for teachers to work on their professional development | 0.976 | 0.458 |
Goal interdependence
The degree to which teachers perceive that reaching their own goals is dependent on the goal attainment of their team members, for which coordination and interaction is required (Runhaar 2008).
| Â | Factor loading | Residual variance |
|---|---|---|
In our team we all want to reach the same | 1.000 | 0.437 |
We agree on what quality is for our team | 1.161 | 0.250 |
If work does not satisfy quality requirements, the responsible team member is asked about this by other team members | 0.775 | 0.755 |
Collective-efficacy
A future-oriented belief about the level of competence that the team expects to display in a given situation (Goddard 2002).
| Â | Factor loading | Residual variance |
|---|---|---|
In our team teachers are able to get through to difficult students | 1.000 | 0.574 |
In our team teachers have what it takes to get the children to learn | 0.995 | 0.214 |
In our team teachers really believe every child can learn | 0.719 | 0.618 |
In our team teachers are confident they will be able to motivate their students | 0.806 | 0.199 |
In our team teachers give up sometimes if a child doesn’t want to learn (rev) | 0.590 | 0.971 |
Information sharing
Refers to teachers seeking information and advice from each other, as well as their contributions to keeping an ongoing stream of information and reflections going in the team (van Woerkom 2003).
| Â | Factor loading | Residual variance |
|---|---|---|
I share my knowledge and experience regularly with my team members | 1.000 | 0.208 |
I discuss with my team members what I find important in my work | 1.426 | 0.131 |
I discuss with my team members our criteria for good functioning | 1.275 | 0.377 |
I discuss problems in my teaching practice with others to learn from that | 1.023 | 0.348 |
Appendix B
Means, standard errors, intraclass correlations and correlations of the composed scales | |||||||
|---|---|---|---|---|---|---|---|
| Â | Â | Â | Â | Â | r | ||
| Â | m | S.E | ICC 1 | ICC 2 | 1 | 2 | 3 |
1. Transformational leadership | 3.461 | 0.041 | 0.195 | 0.643 | Â | Â | Â |
2. Goal interdependence | 3.261 | 0.045 | 0.183 | 0.576 | 0.198** | Â | Â |
3. Collective-efficacy | 3.407 | 0.034 | 0.254 | 0.670 | 0.128** | 0.300** | Â |
4. Information sharing | 3.995 | 0.032 | 0.160 | 0.514 | 0.130** | 0.149** | 0.132** |
Rights and permissions
Open Access This article is licensed under a Creative Commons Attribution 4.0 International License, which permits use, sharing, adaptation, distribution and reproduction in any medium or format, as long as you give appropriate credit to the original author(s) and the source, provide a link to the Creative Commons licence, and indicate if changes were made. The images or other third party material in this article are included in the article's Creative Commons licence, unless indicated otherwise in a credit line to the material. If material is not included in the article's Creative Commons licence and your intended use is not permitted by statutory regulation or exceeds the permitted use, you will need to obtain permission directly from the copyright holder. To view a copy of this licence, visit http://creativecommons.org/licenses/by/4.0/.
About this article
Cite this article
Oude Groote Beverborg, A. Professional learning activity in and of teacher teams: multilevel assessment of how transformational leadership, goal interdependence, and collective efficacy affect information sharing. Empirical Res Voc Ed Train 16, 6 (2024). https://doi.org/10.1186/s40461-024-00163-3
Received:
Accepted:
Published:
DOI: https://doi.org/10.1186/s40461-024-00163-3

